These functions use nested positioning for distributional data, where one of the positions is stacked. This allows you to set different position adjustments for the "main" and "distribution" parts of your plot.
Usage
position_stack_identity(vjust = 1, reverse = FALSE)
position_stack_dodge(
vjust = 1,
reverse = FALSE,
width = NULL,
preserve = "single",
orientation = "x"
)Arguments
- vjust
Vertical adjustment for geoms that have a position (like points or lines), not a dimension (like bars or areas). Set to
0to align with the bottom,0.5for the middle, and1(the default) for the top.- reverse
If
TRUE, will reverse the default stacking order. This is useful if you're rotating both the plot and legend.- width
Dodging width, when different to the width of the individual elements. This is useful when you want to align narrow geoms with wider geoms. See the examples.
- preserve
Should dodging preserve the
"total"width of all elements at a position, or the width of a"single"element?- orientation
Fallback orientation when the layer or the data does not indicate an explicit orientation, like
geom_point(). Can be"x"(default) or"y".
Examples
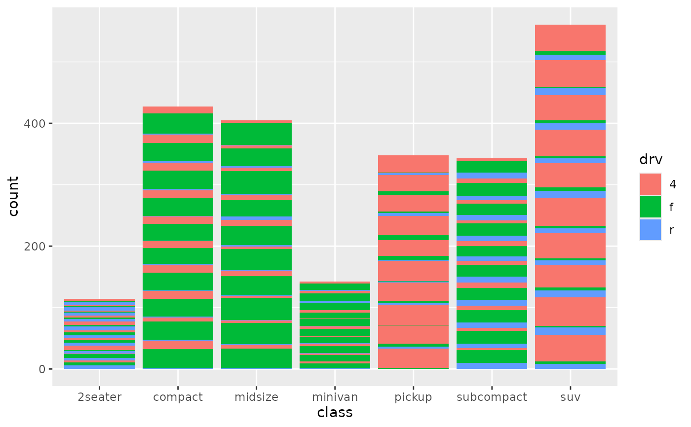
# Standard ggplots often have a position adjustment to fix overplotting
# plot with overplotting
library(ggplot2)
ggplot(mpg, aes(class)) +
geom_bar(aes(fill = drv),
position = "stack")
# normal stack warps the scale and doesn't communicate useful info
ggplot(uncertain_mpg, aes(class)) +
geom_bar_sample(aes(fill = drv), position = "stack")
# stack_identity
ggplot(uncertain_mpg, aes(class)) +
geom_bar_sample(aes(fill = drv), position = "stack_identity", alpha=0.2)
# stack_dodge
ggplot(uncertain_mpg, aes(class)) +
geom_bar_sample(aes(fill = drv), position = "stack_dodge")
