library(ggdibbler)
library(tidyverse)
library(sf)
library(distributional)
library(patchwork)
library(tidygraph)
library(ggraph)
library(ggthemes)
library(fable)
library(gganimate)
library(ggridges)
library(feasts)
library(urca)TLDR - What is ggdibbler?
You can pass random variables to ggplot now. Any geom, any aesthetic
(except groups and facets), they all accept random variables. we make no
judgements on your plot, we am not your rulers. Whatever your plot is,
ggdibbler will allow you to pass a random variable to it.
The rest of the vignette will explain how this works and the philosophy
behind it. I know you are itching to get to the package, so I will
quickly answer the main question I know you are dying to ask: Yes, I DO
accept cash gifts as expressions of gratitude, cheers.
The unfamiliar stuff
This is a brief explanation of the things you might not already be
familiar with when learning about ggdibbler.
Using distributional
ggdibbler is entirely built upon the R package
distributional which allows you to store distributions in a
data frame as distribution objects. The package is the foundation of
ggdibbler because it perfectly embodies the concept of a
random variable as a unit. The package is also shockingly flexible and I
am yet to come across a case that cannot be represented by
distributional. If you have uncertainty that can quantified
then it can be represented in a vector and therefore can be visualised
by ggdibbler.
- Bounded values? use
dist_uniform(lowerbound, upperbound) - Uncertain predicted classes? use
dist_categorical - Want to sample values from a specific vector of values (such as a
posterior)? use
dist_sample - Classic empirical distribution? Go buck wild with
dist_normal,dist_poission, and the like
There are also flexibilities that go beyond just the distribution you choose.
- You can transform distributions using standard arithmetic (in
sensible situations) or with
dist_transformed - You can make mixed distributions using
dist_mixtureand truncate distributions withdist_truncated - You can make your own bespoke distributions (although I am not sure how difficult that is, I have never had to do it).
- You can even have deterministic (there is a deterministic distribution) and distributional objects in the same column.
To give an example of the transformations, I just ripped the code below from one of Mitch’s talks on the package:
dist_normal(1,3)
#> <distribution[1]>
#> [1] N(1, 9)
# if transformation exists
exp(3 * (2 + dist_normal(1,3)))
#> <distribution[1]>
#> [1] lN(9, 81)
# if transformation doesn't exist uses dist_transformed
(3 * (2 + dist_normal(1,3)))^2
#> <distribution[1]>
#> [1] t(N(9, 81))All of the data sets in ggdibbler already have the
distributional component added, but making a distribution vector is
shockingly easy. Below is an example where we make normally distributed
estimates by wrapping our typical estimate and standard error
calculations in a dist_normal function.
toy_temp_eg <- toy_temp |>
group_by(county_name) |>
summarise(temp_dist = dist_normal(mu = mean(recorded_temp),
sigma = sd(recorded_temp)/sqrt(n())))
print(head(toy_temp_eg))
#> Simple feature collection with 6 features and 2 fields
#> Geometry type: MULTIPOLYGON
#> Dimension: XY
#> Bounding box: xmin: 406217.2 ymin: -466551.1 xmax: 722461.8 ymax: -128604.1
#> Projected CRS: NAD27 / US National Atlas Equal Area
#> # A tibble: 6 × 3
#> county_name temp_dist
#> <chr> <dist>
#> 1 Adair County N(30, 0.82)
#> 2 Adams County N(30, 1)
#> 3 Allamakee C… N(26, 0.3)
#> 4 Appanoose C… N(23, 0.69)
#> 5 Audubon Cou… N(28, 0.8)
#> 6 Benton Coun… N(29, 2)
#> # ℹ 1 more variable: county_geometry <MULTIPOLYGON [m]>Now, I could spend all day on this, but ultimately, this is not a
vignette for distributional (although they really should make one). It
is definitely worth having a play around in distributional
to get a feel for the package if you have never used it before.
Using nested positions
Another component of ggdibbler that is not always
immediately clear to users is the nested position system. This system is
required to maintain the continuous mapping property that makes
ggdibbler such a useful uncertainty visualisation
system.
The syntax of the nested positions is
mainposition_nestedposition, where the main position is
what was in the limiting ggplot, and the nested position manages the
over plotting caused by sampling from the distribution.
To get an idea of how the nested positions work, we have included a
few examples using the identity, dodge and stack positions and am
showing them alongside their ggplot2 deterministic
counterpart. The first column is the original ggplot we are going to add
uncertainty to, the second and third column is the effect of the over
plotting being managed with an identity (with decreased alpha) and dodge
positions respectively.
# ggplot IDENTITY
p1 <- ggplot(mpg, aes(class)) +
geom_bar_sample(aes(fill = drv),
position = "identity", alpha=0.7)+
theme_few() +
theme(legend.position="none", aspect.ratio = 1) +
ggtitle("ggplot2: identity")
# ggdibbler identity
p2 <- ggplot(uncertain_mpg, aes(class)) +
geom_bar_sample(aes(fill = drv), alpha=0.1,
position = "identity_identity")+
theme_few() +
theme(legend.position="none", aspect.ratio = 1)+
ggtitle("identity_identity")
p3 <- ggplot(uncertain_mpg, aes(class)) +
geom_bar_sample(aes(fill = drv), alpha=0.7,
position = "identity_dodge")+
theme_few() +
theme(legend.position="none", aspect.ratio = 1)+
ggtitle("identity_dodge")
# ggplot dodge
p5 <- ggplot(mpg, aes(class)) +
geom_bar_sample(aes(fill = drv),
position = position_dodge(preserve="single"))+
theme_few() +
theme(legend.position="none", aspect.ratio = 1)+
ggtitle("ggplot: dodge")
p6 <- ggplot(uncertain_mpg, aes(class)) +
geom_bar_sample(aes(fill = drv), alpha=0.1,
position = "dodge_identity")+
theme_few() +
theme(legend.position="none", aspect.ratio = 1)+
ggtitle("dodge_identity")
p7 <- ggplot(uncertain_mpg, aes(class)) +
geom_bar_sample(aes(fill = drv),
position = "dodge_dodge")+
theme_few() +
theme(legend.position="none", aspect.ratio = 1)+
ggtitle("dodge_dodge")
# ggplot stack
p9 <- ggplot(mpg, aes(class)) +
geom_bar_sample(aes(fill = drv),
position = "stack")+
theme_few() +
theme(legend.position="none", aspect.ratio = 1)+
ggtitle("ggplot2: stack")
p10 <- ggplot(uncertain_mpg, aes(class)) +
geom_bar_sample(aes(fill = drv), alpha=0.1,
position = "stack_identity")+
theme_few() +
theme(legend.position="none", aspect.ratio = 1)+
ggtitle("stack_identity")
p11 <- ggplot(uncertain_mpg, aes(class)) +
geom_bar_sample(aes(fill = drv),
position = "stack_dodge")+
theme_few() +
theme(legend.position="none", aspect.ratio = 1)+
ggtitle("stack_dodge")
(p1 | p2 | p3 ) / (p5 | p6 | p7) / (p9 | p10 | p11)
Examples
Working directly with model output
Sometimes you will get lucky and the modelling package you are using
will directly spit out a distributional objects. This is
the case in a package such as fable. In this case, you can
literally just directly visualise the distributions with zero
pre-processing
forecast <- as_tsibble(sunspot.year) |>
model(ARIMA(value)) |>
forecast(h = "10 years")
ggplot(forecast) +
geom_line_sample(aes(x = index, y = value),
times=100, alpha=0.5) +
theme_few()
This is not a common occurrence, but when it occurs the workflow is so seamless that uncertainty visualisation becomes as easy as visualising regular data. The more R programs that spit out a distribution directly, the easier it will be for you to visualise uncertainty. I cannot control this, but hopefully being able to seamlessly visualise the distributions will make transparency in predictions and model outputs seamless to implement into any data analysis workflow.
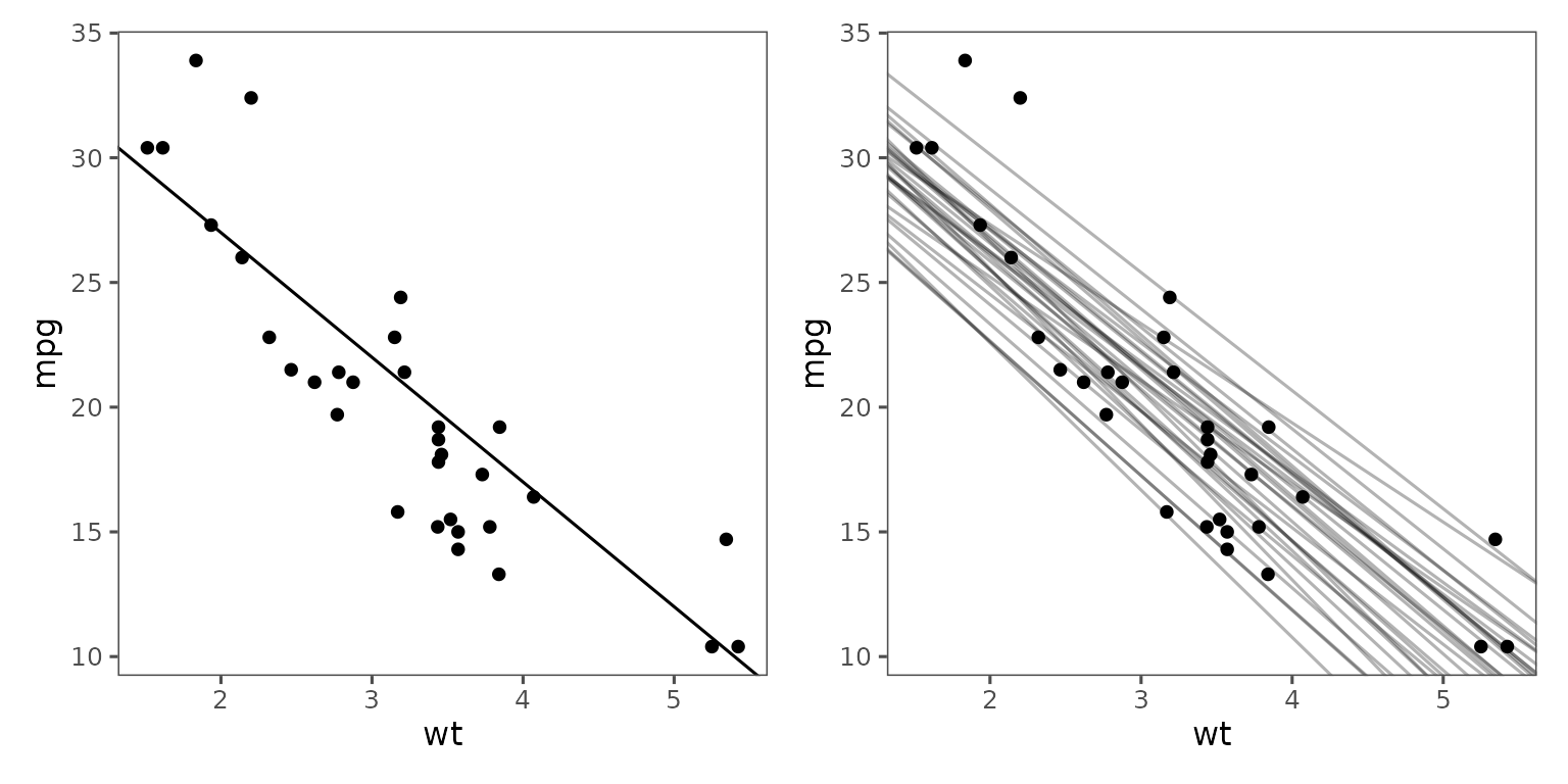
A basic geom_abline
The most basic estimate we can have, is the estimate for a simple
linear regression. A simple linear regression is actually used in the
ggplot2 documentation as the example for
geom_abline.
# plot data
p <- ggplot(mtcars, aes(wt, mpg)) + geom_point() + theme_few()
p
# Calculate slope and intercept of line of best fit
# get coef and standard error
summary(lm(mpg ~ wt, data = mtcars))
#>
#> Call:
#> lm(formula = mpg ~ wt, data = mtcars)
#>
#> Residuals:
#> Min 1Q Median 3Q Max
#> -4.5432 -2.3647 -0.1252 1.4096 6.8727
#>
#> Coefficients:
#> Estimate Std. Error t value Pr(>|t|)
#> (Intercept) 37.2851 1.8776 19.858 < 2e-16 ***
#> wt -5.3445 0.5591 -9.559 1.29e-10 ***
#> ---
#> Signif. codes: 0 '***' 0.001 '**' 0.01 '*' 0.05 '.' 0.1 ' ' 1
#>
#> Residual standard error: 3.046 on 30 degrees of freedom
#> Multiple R-squared: 0.7528, Adjusted R-squared: 0.7446
#> F-statistic: 91.38 on 1 and 30 DF, p-value: 1.294e-10
# ggplot, just error estimate
p1 <- p + geom_abline(intercept = 37, slope = -5)
# ggdibbler for coef AND standard error
p2 <- p + geom_abline_sample(intercept = dist_normal(37, 1.8), slope = dist_normal(-5, 0.56),
times=30, alpha=0.3)
p1 + p2
A fun aspect of this approach, is that we can simultaneously see the impact of the variance in the intercept and the slope.
A more complicated case with geom_sf
Lets work through a longer and more difficult case of uncertainty
visualisation, that involves some actual data manipulation, statistical
thinking, and a somewhat complicated visualisation; a spatial
visualisation with an uncertain fill. To look at this, we are going to
use one of the example data sets that comes with
ggdibbler,toy_temp.
The toy_temp data set is a simulated data set that
represents observations collected from citizen scientists in several
counties in Iowa. Each county has several measurements made by
individual scientists at the same time on the same day, but their exact
location is not provided to preserve anonymity. Different counties can
have different numbers of citizen scientists and the temperature
measurements can have a significant amount of variance due to the
recordings being made by different people in slightly different
locations within the county. Each recorded temperature comes with the
county the citizen scientist belongs to, the temperature recording the
made, and the scientist’s ID number. There are also variables to define
spatial elements of the county, such as it’s geometry, and the county
centroid’s longitude and latitude.
glimpse(toy_temp)
#> Rows: 990
#> Columns: 6
#> $ county_name <chr> "Lyon County", "Dubuque County", "Crawford County", "…
#> $ county_geometry <MULTIPOLYGON [m]> MULTIPOLYGON (((274155.2 -1..., MULTIPOL…
#> $ county_longitude <dbl> 306173.3, 746092.2, 381255.2, 696287.1, 729905.9, 306…
#> $ county_latitude <dbl> -172880.7, -239861.5, -318675.9, -153979.0, -280551.9…
#> $ recorded_temp <dbl> 21.08486, 28.94271, 26.39905, 27.10343, 34.20208, 20.…
#> $ scientistID <chr> "#74991", "#22780", "#55325", "#46379", "#84259", "#9…While it is slightly difficult, we can view the individual observations by plotting them to the centroid longitude and latitude (with a little jitter) and drawing the counties in the background for referee.
# Plot Raw Data
ggplot(toy_temp) +
geom_sf(aes(geometry=county_geometry), fill="white") +
ggtitle("ggdibbler some error") +
geom_jitter(aes(x=county_longitude, y=county_latitude, colour=recorded_temp),
width=5000, height =5000, alpha=0.7) +
scale_colour_distiller(palette = "OrRd") +
theme_map()
Typically, we would not visualise the data this way. A much more common approach would be to take the average of each county and display that in a choropleth map, displayed below.
# Mean data
toy_temp_mean <- toy_temp |>
group_by(county_name) |>
summarise(temp_mean = mean(recorded_temp))
# Plot Mean Data
ggplot(toy_temp_mean) +
ggtitle("ggdibbler some error")+
scale_fill_distiller(palette = "OrRd") +
geom_sf(aes(geometry=county_geometry, fill=temp_mean), colour="white") +
theme_map()
This plot is fine, but it does loose a key piece of information, specifically the understanding that this mean is an estimate. That means that this estimate has a sampling distribution that is invisible to us when we make this visualisation.
We can see that there is a wave like pattern in the data, but sometimes spatial patterns are not the result of significant differences in population, and may disappear if we were to include the variance of the estimates. We can calculate the estimated standard error alongside the mean.
# Mean and variance data
toy_temp_est <- toy_temp |>
group_by(county_name) |>
summarise(temp_mean = mean(recorded_temp),
temp_se = sd(recorded_temp)/sqrt(n())) Getting an estimate along with its variance is also a common format governments supply data. Just like in our citizen scientist case, this if often done to preserve anonymity.
The problem with this format of data, is that there is no way for us to include the variance information in the visualisation. We can only visualise the estimate and its variance separately. So, instead of trying to use the estimate and its variance as different values, we combine them as a single distribution variable.
# Distribution
toy_temp_dist <- toy_temp_est |>
mutate(temp_dist = dist_normal(temp_mean, temp_se)) |>
select(county_name, temp_dist)
# Plot Distribution Data
ggplot(toy_temp_dist) +
geom_sf_sample(aes(geometry=county_geometry, fill=temp_dist),
times=50, linewidth=0) +
scale_fill_distiller(palette = "OrRd") +
theme_map()
To maintain flexibility, the geom_sf_sample does not
highlight the original boundary lines, but that can be easily added just
by adding another layer.
ggplot(toy_temp_dist) +
geom_sf_sample(aes(geometry = county_geometry, fill=temp_dist),
linewidth=0, times=50) +
scale_fill_distiller(palette = "OrRd") +
geom_sf(aes(geometry = county_geometry),
fill=NA, linewidth=1, colour="white") +
theme_map()
By default, geom_sf_sample will subdivide the data. It
is unlikely that you will ever notice this default, as the random part
in a geom_sf is almost always the fill, but in the unlikely event the
random object is the SF part, you will need to change the position to
"identity" and use alpha to manage over
plotting. Alternatively, making an animated plot (detailed below) also
requires the position to be changed to "identity". Note
that unlike geom_sf_sample,
geom_polygon_sample does not have subdivide turned on by
default.
Subdivide is the only position that is specifically created for
ggdibbler. It was inspired by the pixel map used in Vizumap.
All the other position systems used are nested versions of the existing
ggplot2 positions.
What about animated plots?
Yup, you can do that too. It’s actually very simple. Hypothetical
outcome plots have been suggested as an uncertainty visualisation
technique, and they are also easily implemented in
ggdibbler.
In a HOPs plot, it seems that animations replace our distribution specific position adjustment and the continuous mapping theorem still holds. As the variance of each random variable approaches 0, the difference between the frames approaches zero until the animation looks like a single static plot.
Implementing the code is trivially easy when we just have the
animation run through every draw using the drawID variable
(which is exactly what we do in the other position adjustments).
# bar chart
hops <- ggplot(uncertain_mpg, aes(class)) +
geom_bar_sample(aes(fill = drv),
position = "stack_identity", times=30) +
theme_few() +
transition_states(after_stat(drawID))
animate(hops, renderer = gifski_renderer())
What if my plot uses ggplot2 extensions?
If you represent uncertainty as a distributional object, use the
sample_expand function, and group by drawID,
you can apply the signal suppression methods to literally any graphic.
It won’t always work as nicely as ggdibbler (please
download the package, it looks good on my CV and I need a job) and you
can’t use the nested position system, but it works well enough. Writing
extensions that use ggdibbler is covered in a separate
vignette.
This section will go through an example with ggraph and
uncertain edges. So you have this random data set.
set.seed(10)
uncertain_edges <- tibble::tibble(from = sample(5, 20, TRUE),
to = sample(5, 20, TRUE),
weight = runif(20)) |>
dplyr::group_by(from, to) |>
dplyr::mutate(to = distributional::dist_sample(list(sample(seq(from=max(1,to-1),
to = min(to+1, 5)),
replace = TRUE)))) |>
ungroup()
head(uncertain_edges)
#> # A tibble: 6 × 3
#> from to weight
#> <int> <dist> <dbl>
#> 1 3 sample[3] 0.761
#> 2 1 sample[2] 0.573
#> 3 2 sample[3] 0.448
#> 4 4 sample[3] 0.0838
#> 5 3 sample[2] 0.219
#> 6 2 sample[3] 0.0756You need to apply sample_expand before you convert the
data to a graph, because ggraph is all totalitarian about
what it will keep in its graph data set, and it doesn’t allow
distributions.
graph_sample <- uncertain_edges |>
sample_expand(times=50) |>
as_tbl_graph()Now, the ideal visualisation would allow us to add transparency with
a small amount of jitter to straight lines. That doesn’t seem to be
possible in ggraph (as far as I can tell). It seems that,
similar to ggplot2, the lines are actually made up of many
individual points, and the line geometry simply interpolates between
them. When it applies the jitter, it does it to each point, rather than
the line as a whole. So, adding the jitter does work, it just doesn’t
work exactly as you might expect. It does produce an uncertainty
visualisation, though.
jitter = position_jitter(width=0.01, height=0.01)
ggraph(graph_sample, layout = 'fr', weights = weight) +
geom_edge_link(aes(group=drawID), position=jitter, alpha=0.1,
linewidth=0.05) +
geom_node_point(size=5)
You can mess around with alpha, linewidth, and the times argument in
the sample_expand function to get something you are happy
with. There are some other weird over plotting edge things you can
utilise to make the uncertainty implicitly represented by some other
aesthetic (like thickness), but in general the approaches all look
similar (and convey similar information)
# uncertainty indicated by transparency
ggraph(graph_sample, layout = 'fr', weights = weight) +
geom_edge_link(aes(group=drawID), alpha=0.005,
linewidth=2) +
geom_node_point()
# Thickness = probability of an edge (thicker = more probable)
ggraph(graph_sample, layout = 'fr', weights = weight) +
geom_edge_parallel0(aes(group=drawID),
sep = unit(0.05, "mm"), alpha=0.3, linewidth=0.1) +
geom_node_point(size=15)
